1,000,000 have recovered from the Chinese language virus
By Christopher Monckton of Brenchley
Some excellent news: greater than one million folks have now recovered from the Chinese language virus.
And a few extra excellent news: lockdowns are being unwound by little and little. Even HM Authorities, which has moved with all of the vim, sprint and rapidity of a glacier flowing uphill over a vat of superglue, is speaking of setting out an unlocking plan someday subsequent week. Possibly. As soon as it has had a pleasant cup of tea. Listed below are the dates on which numerous territories locked down, and the dates on which some started to unlock:

Georgia, one of many final states to enter a strictish lockdown, is among the many first to unlock. The Governor, Brian Kemp (Republican) has issued a down-to-earth, sensible, fairly detailed and really clearly-explained unlock technique. Listed below are a few slides encapsulating some elements of that technique. Extra at his web site:




It’s not solely the “Democrats” who’re beside themselves with fury, on the bottom that there could also be a second peak if the state is unlocked. Well being professionals are additionally muttering into their beards. However the Governor is banking on folks following the principles he has set out, and utilizing their frequent sense. Georgia, then, will be a part of Sweden as one of many locations to look at.
Some extra excellent news (h/t Mosher, who has kindly been supplying first-class data on the pandemic). Analysis by the London College of Hygiene and Tropical Medication reveals that lockdowns have discernibly halted the an infection’s exponential unfold in some nations, although not in all. Take the USA:


Mr Trump declared a state of emergency on March 13. 4 key states – New York, California, Illinois and New Jersey – locked down between March 19 and March 22. A couple of week later, a peak in new infections (which the College estimates happen a few week earlier than the instances have been reported) was reached in the united statesA.


Taking a look at six populous states, the lockdown had no obvious impact in California, Illinois or Massachusetts, and the height in Pennsylvania was ten days after the lockdown, however in densely-populated New York and New Jersey the height was reached inside per week of the lockdown.


Within the UK the lockdown got here into full impact on March 24 and the height in new infections was on April four, 11 days later. Nonetheless, the half-dozen most-affected areas all confirmed near-immediate peaks following the UK-wide lockdown:


One notable function of all these curves of every day instances is that, although the method to the height is steep the decline from it’s slower. The reason being that lockdowns delay the acquisition of “herd immunity” and, subsequently, the symmetrical form of the curve both facet of the height that, as my good buddy Willis Eschenbach has rightly identified, is attribute of a pandemic following the logistic curve doesn’t come up.
For distinction, right here is Sweden, which has not locked down in any respect. The College thinks a peak has been reached nonetheless:


Yet another piece of excellent information: our every day graphs present that in the USA estimated energetic instances (on the cautious, weekly-averaged foundation) are eventually declining.


Fig. 1. Imply compound every day development charges in estimated energetic instances of COVID-19 for the world excluding China (pink) and for a number of particular person nations averaged over the successive seven-day intervals ending on all dates from April 1 to April 30, 2020.


Fig. 2. Imply compound every day development charges in cumulative COVID-19 deaths for the world excluding China (pink) and for a number of particular person nations averaged over the successive seven-day intervals ending on all dates from April eight to April 30, 2020.
Ø Excessive-definition Figures 1 and a couple of are right here.
Sweden now has the best growth-rate in estimated weekly-averaged energetic instances amongst all of the nations we’re following, and the third highest death-rate. Its Public Well being Authority is now not holding every day press conferences, and the director of the Authority is presently getting ready a report on why so many individuals have died in care properties (an issue that has troubled Britain and plenty of different European nations, with the notable exception of Germany).
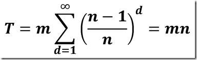
Lastly, I apologize for having mangled yesterday’s equation (1). I defined that after the deaths are falling by one-nth per day, on the idea that deaths will proceed to say no at that fee, one can estimate the whole deaths T from any day d merely because the product of n and that day’s deaths m. The corrected equation for the sum of the related infinite collection is:


Ø A rising variety of commenters listed below are offering invaluable details about finest observe in public coverage and in approaches to remedy of the virus. Maintain this data coming and I shall function the most effective data right here sometimes, as I’ve at this time.
Like this:
Loading…